外夹式超声波流量计测量原理与发展现状
0 引言
超声波流量计具有非接触式测量、低压损、测量范围宽等优点,已经被广泛用于石油化工等行业的流量计量,特别适用于大口径管道、非导电性流量测量。
1 超声波流量计的基本测量原理
超声波流量计利用超声波在流体的顺流和逆流中不同的传播速度来测量,测量原理图见图1。最常见的有时差法、速差法和频差法。

图1 超声流量计测量原理示意图

时差法:

速差法:

频差法:

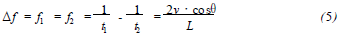
式中,L是A、B换能器的直线距离,θ是流体流向与超声波路径的夹角。
因为声速c受温度的影响不容易忽略,而式(5)中频差与流速v成正比,且不含声速c,测量结果不受温度影响,所以频差法更为简单实用。也有专门利用管段内流体的温度分布随流体流动而改变,温度分布又引起声速变化这一特点研发的超声波流量计。
因为一般流速下,顺流和逆流的时间差取决于管径的大小,只有几百纳秒到几微秒,所以高精度的时差、频差的测量方法与超声波流量计测量精度关系紧密,例如荷兰Instroment公司采用了高速数字处理电路技术,能检测出微秒级的微小时间差,计时精度达到纳秒级。
2 外夹式超声波流量计的选型和安装
根据换能器的安装方式不同,超声波流量计可以分为:外夹式、管段式和插入式。外夹式超声波流量计,是指将换能器贴
在管道外侧的超声波流量计。这种安装方式是超声波流量计的三种换能器安装方式中,安装和维护最为方便的一种,但是换能器信号的发射和接收信号通道最复杂,必须通过管道、(衬里)和流体介质,测量精度也相对较低。
2.1 选型注意事项
仪表的选型是仪表应用中非常重要的工作,超声波流量计选型要特别注意收集以下方面的信息:
2.1.1 基本信息
被测流体名称;最大流量、最小流量;最高温度、最低温度;管道材料;管道内衬材料;管外径D(或管壁厚度),管内径。
2.1.2 防护等级选择
一般有IP65和IP68两种。IP65是防喷水型,在使用中能承受一定压力和出水量的水柱喷射。IP68是潜水型,可以长期工作在水中。
2.1.3 测量点的选择
1)测量位置应选在探头上游大于10D和下游大于5D,充满液体的直管段处;
2)测量点选择应尽可能远离泵、阀门等设备,避免干扰。原因同上,因要尽可能测量平直流体,避免紊流带来的测量误差;
3)测量点选择应尽可能远离大功率电台,强磁场干扰源等;
4)管路管材应均匀密实,易于超声波传播;
5)充分考虑管内结垢状况,尽可能选择无结垢的管段进行测量。
2.2 安装注意事项
1)必须把待安装换能器的金属管道表面打磨3倍探头面积,去掉锈迹油漆,使管壁表面光滑平整,露出管道金属的原有表面并保持原有弧度;
2)换能器的信号屏蔽线可悬空,但不能与正、负端短路;
3)换能器与管道接触部分要用耦合剂密封,防止空气、沙尘和锈迹进入;
4)夹具应固定在换能器的中心部分,使之不易滑动。
3 外夹式超声波流量计的发展现状
超声波的特点之一是传播衰减大,气体吸收超声波能量的能力最强,其次是液体和固体。故单一流体的超声波流量计中,外夹式气体超声波流量计在实际应用中测量精度一般都不高。为了提高测量的精度和信号强度,有些超声波流量计采取了多通道测量方法,利用多通道的测量数据根据权值计算平均流速。还有些超声波流量计采用了宽束技术。该技术是由换能器发出较宽频率范围的声束对管道壁进行扫描和搜索,使管道变成了换能器的一部分,使声束能更大面积地覆盖被测介质的横截面。有资料显示宽束技术可以用较少的声道便可得到很高的稳定性和重复性,可测最小管径能达到6.35mm。
德国E+H、美国康乐创等公司,在超声波流量测量技术的发展处于领先水平。在MICONEX2004上,康乐创展出的1010GC外夹式超声流量计就可用于气体流量测量,其精确度优于±0.5%。目前国内外夹式超声波流量计虽然在液体流量测量上取得了长足的进步,一般测量精度能优于±1.0%。但是我国在气体超声波流量测量和测量精度方面差距尚大。
4 结束语
外夹式超声波流量计是超声波流量计使用优点的最突出代表,随着技术的不断发展,测量精度的不断提高,外夹式超声波流量计必将会被越来越广泛应用。因此了解并把握外夹式超声波流量计性能特点,有利于更好地应用它为工业生产和计量服务。