客户服务热线

15351767111

在线客服
返回首页 加入收藏 联系我们 网站地图
地址:江苏金湖经济开发区科技园
电话:0517-86887111
商务热线:15351767111
传真:0517-86809111
邮编:211600
E-mail:jhjtyb@163.com
http://www.china-jtyb.com/
您当前的位置:首页   <   新闻中心   <   电容式差压变送器的工作原理
电容式差压变送器的工作原理

发布时间:2013-6-8 8:26:30

电容式差压变送器是20世纪80年代研制开发的新型差压变送器,它利用单晶硅谐振传感器,采用微电子表面加工技术,除了保证±0.2%的测量精度外,还可实现抵制静压、温飘对其影响。由于配备了低噪声调制解调器和开放式通讯协议,目前的电容式差压变送器可实现数字无损耗信号传输。

一、结构及工作原理

变送器主要有检测部分和信号转换及放大处理部分组成。

检测部分由检测膜片和两侧固定弧形板组成,检测膜片在压差的作用下可轴向移动,形成可移动电容极板,并和固定弧形板组成两个可变电容器C1和C2,结构及电气原理可见图6-11。

 

电容式差压变送器的工作原理 - 擎天柱 - 传じ☆ve说

检测前,高、低压室压力平衡,P1 =P2;按结构要求,组成两可变电容的固定弧形极板和检测膜片对称,极间距相等,C1 =C2。

当被测压力P1和P2分别由导入管进入高、低压室时,由于P1 >P2隔离膜片中心将发生位移,压迫电解质使高压侧容积变小。当电解质为不可压缩体时,其容积变化量将引起检测膜片中心向低压侧位移,此位移量和隔离膜片中心位移量相等。根据电工学,当组成电容的两极板极间距发生变化时,其电容量也将发生变化,即从C1=C2变为C1≠C2。

由电气原理图可知,未发生位移时,I1=I2=0;ι1+ι2=ιc;发生位移后,由于相对极间距发生变化,各极板上的积聚电荷量也发生变化,形成电荷位移,此时反映出I1≠ I2,两者之间将产生电流差,若检测出其值大小以及和压差的关系,即可求取流量。

二、变送电流与压差的关系                                                                                        '

设:未发生位移时,按电容定义:

 

电容式差压变送器的工作原理 - 擎天柱 - 传じ☆ve说

式中 K——比例常数;

ε——介电常数;

S——弧形板绝对面积;

d0-——弧形板和可动极板之间相对平均距离。

当发生位移Δd后,仍按电容定义有:

 

电容式差压变送器的工作原理 - 擎天柱 - 传じ☆ve说

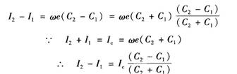
由图6-11可看出,在电动势为e,角频率为ω的高频电源驱动下,其充放电流差为:

 

电容式差压变送器的工作原理 - 擎天柱 - 传じ☆ve说

将C1和C2定义表达式带入上式,有:

 

电容式差压变送器的工作原理 - 擎天柱 - 传じ☆ve说

由推导结果可以得出,电流差和可动极板(检测膜片)中心位移成正比,由于此位移和被测压差成正比,所以电流差与被测压差以及流量均成正比。

三、电容式差压变送器的特点

电容式差压变送器完全由密封测量元件组成,可消除机械传动所造成的瞬时冲击和机械振动。另外高、低压测量室按防爆要求整体铸造而成,大大抑制了外应力、扭矩以及静压对测量准确度的影响。

 
     四、差压变送器在应用中的故障诊断与分析

  1. 调查法:回顾故障发生前的打火、冒烟、异味、供电变化、雷击、潮湿、 误操作、误维修。
 

 

  2. 直观法:观察回路的外部损伤、导压管的泄漏,回路的过热,供电开关状态等。
 

 

  3. 检测法:
 

 

  1) 断路检测:将怀疑有故障的部分与其它部分分开来,查看故障是否消失,如果消失,则确定故障所在,否则可进下步查找,如:智能差压变送器不能正常Hart远程通讯,可将电源从表体上断开,用现场另加电源的方法为变送器通电进行通讯,以查看是否电缆是否叠加约2kHz的电磁信号而干扰通讯。
 

 

  2) 短路检测:在保证安全的情况下,将相关部分回路直接短接,如:差变送器输出值偏小,可将导压管断开,从一次取压阀外直接将差压信号直接引到差压变送器双侧,观察变送器输出,以判断导压管路的堵、漏的连通性。
 

 

  3) 替换检测:将怀疑有故障的部分更换,判断故障部位。如:怀疑变送器电路板发生故障,可临时更换一块,以确定原因。
 

 

  4)分部检测:将测量回路分割成几个部分,如:供电电源、信号输出、信号变送、信号检测,按分部分检查,由简至繁,由表及里,缩小范围,找出故障位置。
 

 

  差压变送器的选择
 

 

  差压变送器是测量工艺管道或罐体中介质的压力差,并且通过数据的转换、开方将测量的差压值转换成电流信号输出。选择差压变送器需要知道如下的参数:
 

 

  1、差压值
 

 

  2、介质
 

 

  3、介质的工作压力
 

 

  4、介质的工作温度
 

 

  5、是智能还是模拟

本文来源:http://www.china-jtyb.com/

版权所有 Copyright(©)2009-2011 江苏捷特仪表有限公司
电话:0517-86887111   15351767111    传真:0517-86809111    地址:江苏金湖经济开发区科技园
技术支持:易品网站建设专家 苏ICP备15015248号