金湖捷特仪表今天和你谈谈超声波流量计在管道泄漏监测系统中的应用:鉴于本课题将首先应用于微弱超声信号的测量,而由于不同实验可能采用的超声发射频率不同,所以定义表征超声发射信号频率
全局
变参量float Pre_Proc。又因
发射信号频率
已知性,故而很容易经过判断
频率进行压缩。混沌振子
实现包括单个振子
实现和时间尺度变换算法
实现。 在信号预制
过程是指
信号进入混沌振子阵列
其频率压缩至1~10范围

过程。
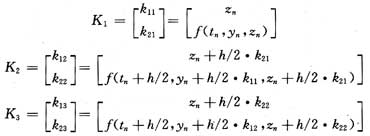
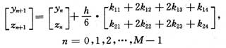
用四阶龙格
库塔法求解,计算公式
(h
算法步长):


时间尺度变换简单,就是将龙格库塔法
积分步长

始值
1/ω即
。软

们定义RungKutta(float Pace,float w)函数
完成步长
Pace、参考频率
w
Duffing方程
数值积分。
信号频率确定
,信号
相位值
由锁相确定,而幅值则
根据混沌周期段最
幅值
应
矢量合成峰值减去该混沌振子
参考信号幅值
确定。运
混沌算法准确地提
压力信号
所包含
压波信息,定位精度
1%以
,满足工程应
求。
结合管道输送的实际情况,针
原油管道泄漏监测技术及其运行监测系统进行
深入
研究,利
超声波流量计,依据流体
流量
超声波流量计传播速度
间
关系,
管道流量进行实时连续监测。充分发挥计算机网络
优势,建立管道泄漏监测系统,以达到及时发现泄漏,并准确地确定其位置的目的。